Теремок - детские игры
Мультфильмы Прикольный досуг Лопотушки Детское творчество
               
 
 
На главную
 
 
Математика 1 класс
 

 

 

Математика 2 класс

 

Математика 3 класс
   
 
Математика 4 класс
 
 
Математика 5 класс
 
Математика 2 класс тетрадь
 
Математика 3 класс тетрадь
 
Математика 4 класс тетрадь
 
Карта сайта
 
 


 

 

Математика 1 класс

Часть 2 страница 30

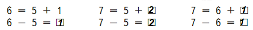
Объясни по рисунку, как можно из 6 вычесть 5; из 7 вычесть 5; ... .

математика 1 класс 2 часть страница 30

Ответ:

решение

1.
математика 1 класс 2 часть страница 30 номер 1

Прочитай полученные равенства, используя слова уменьшаемое, вычитаемое, разность.

Ответ:

решение номера 1 стр 30 математика 1 класс 2 часть

2. Вера сделала 6 закладок для книг. Она подарила брату 2 закладки. Сколько ... ?

Ответ:

математика 1 класс 2 часть страница 30 номер 2

3.
математика 1 класс 2 часть страница 30 номер 3 рисунок

Ответ:

номер 3 стр 30 математика 1 класс 2 часть решение

4. Догадайся, сколько углов станет у квадратного куска фанеры, если от него отпилить один угол.

Ответ:

математика 1 класс 2 часть страница 30 номер 4

? задание внизу страницы 30 математика 1 класс 2 часть

Ответ:

7 - 5 = 2
6 - 5 = 1
7 - 6 = 1

Цепочка:

цепочка математика 1 класс 2 часть страница 30

Ответ:

9 - 3 = 6
6 + 4 = 10
10 - 8 = 2
2 + 7 = 9

 

 

 

 

 

 

 

 

 

 

 

 

 

 

 
На главную Математика 1 класс Математика 2 класс Математика 3 класс Математика 4 класс