Теремок - детские игры
Мультфильмы Прикольный досуг Лопотушки Детское творчество
               
 
 
На главную
 
 
Математика 1 класс
 

 

 

Математика 2 класс

 

Математика 3 класс
   
 
Математика 4 класс
 
 
Математика 5 класс
 
Математика 2 класс тетрадь
 
Математика 3 класс тетрадь
 
Математика 4 класс тетрадь
 
Карта сайта
 
 


 

 

Математика 3 класс 1 часть

стр. 25

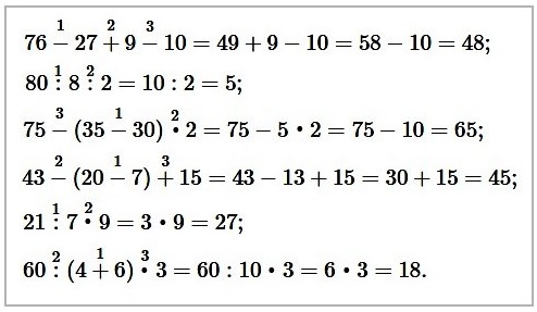
3. Рассмотри выражения, установи порядок выполнения действий и выполни вычисления.

76 - 27 + 9 - 10
43 - (20 - 7) + 15

80 : 8 : 2
21 : 7 * 9
75 - (35 - 30) * 2
60 : ( 4 + 6) * 3

Ответ:

установи порядок выполнения действий стр 25 3 класс

4. В книге 48 страниц. Даша читала книгу в течении трех дней, по 9 страниц ежедневно. Сколько страниц ей осталось прочитать?

1) 3 • 9 = 27 (стр.) - прочитано.
2) 48 - 27 = 21 (стр.) - осталось прочитать.
Ответ: Даше осталось прочитать 21 страницу.

задача 4 стр 25 3 класс математика

5. Брат и сестра хотят купить несколько карандашей по цене 3 р. за карандаш. У брата есть 5 р., а у сестры - 7 р. Сколько карандашей они могут купить на все деньги?

1) 5 + 7 = 12 (руб.) - всего у брата и сестры.
2) 12 : 3 = 4 (к.) - могут купить брат с сестрой.
Ответ: брат с сестрой могут купить 4 карандаша.

задача 5 стр 25 математика 3 класс

6. На сколько миллиметров один из отрезков длиннее другого?

отрезки стр 25 математика 3 класс номер 6

Измеряем отрезки.
AB = 50 мм;
CD = 45 мм.
AB - CD = 50 - 45 = 5 (мм).
Ответ: AB длиннее CD на 5 мм.

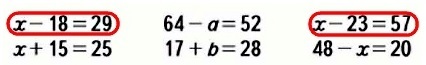
7. Выпиши и реши те уравнения, которые решаются сложением.

х - 18 = 29
х + 15 = 25

64 - а = 52
17 + b = 28
х - 23 = 57
48 - х = 20

Ответ:

решение номер 7 стр 25 математика 3 класс 1 часть

x - 18 = 29
x = 29 + 18
x = 47

x - 23 = 57
x = 57 + 23
x = 80

8. В хозяйстве 8 комбайнов, 12 тракторов, а грузовиков на 5 больше, чем комбайнов и тракторов вместе. Сколько всего единиц техники в хозяйстве?

задача 8 про тракторы и грузовики математика 3 класс

1) 8 + 12 = 20 (шт.) - комбайнов и тракторов всего.
2) 20 + 5 = 25 (шт.) - грузовиков.
3) 20 + 25 = 45 (шт.) - единиц техники всего.
Ответ: в хозяйстве всего 45 единиц техники.

В хозяйстве 8 комбайнов, 12 тракторов, а грузовиков на 5 больше, чем комбайнов и тракторов вместе. Сколько всего единиц техники в хозяйстве?

32 + 9 *(19 - 16)

27 : 3 * 4 2 * 9 - 18 : 3

Ответ:

стр 25 примеры по математике 3 класс

Ребусы:

ребус стр 25 решение

47 + 18 = 65
85 - 25 = 60

 

 

 

 

 

 

 

 

 

 

 

 

 

 

 
На главную Математика 1 класс Математика 2 класс Математика 3 класс Математика 4 класс