Теремок - детские игры
Мультфильмы Прикольный досуг Лопотушки Детское творчество
               
 
 
На главную
 
 
Математика 1 класс
 

 

 

Математика 2 класс

 

Математика 3 класс
   
 
Математика 4 класс
 
 
Математика 5 класс
 
Математика 2 класс тетрадь
 
Математика 3 класс тетрадь
 
Математика 4 класс тетрадь
 
Карта сайта
 
 


 

 

Математика 3 класс тетрадь

Рабочая тетрадь 2 часть

страница 57

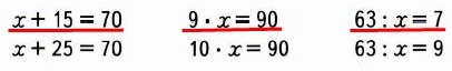
29. Не решая уравнений, подчеркни в каждой паре то уравнение, в котором значение неизвестного больше.
стр 57 номер 29. Не решая уравнений, подчеркни в каждой паре то уравнение, в котором значение неизвестного больше.  математика 3 класс тетрадь 2 часть

30. В одном ящике было 52 кг яблок, а в другом — 38 кг. Часть яблок разложили в 5 коробок, по 7 кг в каждый. Сколько килограммов яблок осталось в двух ящиках? Запиши решение по действиям с краткими пояснениями.
рабочая тетрадь 2 часть математика 3 класс стр 57 30. В одном ящике было 52 кг яблок, а в другом — 38 кг. Часть яблок разложили в 5 коробок, по 7 кг в каждый. Сколько килограммов яблок осталось в двух ящиках? Запиши решение по действиям с краткими пояснениями.

31. Вычисли и выполни проверку.
страница 57 номер 31. Вычисли и выполни проверку.  рабочая тетрадь 2 часть математика 3 класс

 

 

 

 

 

 

 

 

 

 

 

 

 

 

 
На главную Математика 1 класс Математика 2 класс Математика 3 класс Математика 4 класс