Теремок - детские игры
Мультфильмы Прикольный досуг Лопотушки Детское творчество
               
 
 
На главную
 
 
Математика 1 класс
 

 

 

Математика 2 класс

 

Математика 3 класс
   
 
Математика 4 класс
 
 
Математика 5 класс
 
Математика 2 класс тетрадь
 
Математика 3 класс тетрадь
 
Математика 4 класс тетрадь
 
Карта сайта
 
 


 

 

Математика 4 класс 2 часть

стр. 104

Материал для расширения и углубления знаний

Доли

1. Рассмотри рисунок. На сколько равных частей разделён каждый круг? Сколько закрашено восьмых круга? пятых круга? третьих круга?
доли математика 4 класс 2 часть стр 104 материал для расширения и углубления знаний

читают так:
одна восьмая, пять восьмых, три пятых, две третьих .
Число, записанное под чертой, показывает, на сколько равных частей разделено целое; число над чертой показывает, сколько взято таких частей.

Первый и второй круг разделены на 8 равных частей, третий - на 5, а четвертый - на 3.
У первого круга закрашена одна восьмая часть.
У второго круга закрашены пять восьмых частей.
У третьего круга закрашены три пятых части.
У четвертого круга закрашены две третьих части.

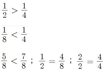
2. Рассмотри рисунок.


рисунок задание 2 стр 104 математика 4 класс 2 часть

Что больше часть этого прямоугольника?

Что меньше: часть этого прямоугольника?

Сравни части этого прямоугольника:

Ответ:

номер 2 стр 104 математика 4 класс 2 часть

 

 

 

 

 

 

 

 

 

 

 

 

 

 

 
На главную Математика 1 класс Математика 2 класс Математика 3 класс Математика 4 класс