Теремок - детские игры
Мультфильмы Прикольный досуг Лопотушки Детское творчество
               
 
 
На главную
 
 
Математика 1 класс
 

 

 

Математика 2 класс

 

Математика 3 класс
   
 
Математика 4 класс
 
 
Математика 5 класс
 
Математика 2 класс тетрадь
 
Математика 3 класс тетрадь
 
Математика 4 класс тетрадь
 
Карта сайта
 
 


 

 

Математика 4 класс 2 часть

стр. 106

Материал для расширения и углубления знаний

Единицы площади - ар и гектар

5. Сравни значения площади.

50 а и 50 га
78 а и 7 800 м2
40 а и 4 000 м2

26 га и 260 а
6 а 50 м2 и 700 м2
3 га 90 а и 400 а

Ответ:

50 а < 50 га
50 а < (50 • 100) а
50 а < 5000 а

78 а = 7800 м2
78 а = (7800 : 100) а
78 а = 78 а

40 а = 4000 м2
40 а = (4000 : 100) а
40 а = 40 а

26 га > 260 а
(26 • 100) а > 260 а
2600 а > 260 а

6 а 50 м2 < 700 м2
(6 • 100 + 50) м2 < 700 м2
650 м2 < 700 м2

3 га 90 а < 400 а
(3 • 100 + 90) а < 400 а
390 а < 400 а

6.

6 а 70 м2 + 30 м2
8 га 15 а + 85 а

3 а - 75 м2
10 га - 40 а
1 а - 90 м2
1 км2 - 40 га

Ответ:

6 а 70 м2 + 30 м2 = 6 а + 100 м2 = 6 а + 1 а = 7 а

8 га 15 а + 85 а = 8 га + 100 а = 8 га + 1 га = 9 га

3 а - 75 м2 = 2 а 100 м2 - 75 м2 = 2 а 25 м2

10 га - 40 а = 9 га 100 а - 40 а = 9 га 60 а

1 а - 90 м2 = 100 м2 - 90 м2 = 10 м2

1 км2 - 40 га = 100 га - 40 га = 60 га

7. 1) Площадь участка прямоугольной формы 6 соток. Сколько это квадратных метров?

1 сотка = 100 (м2);
6 • 100 = 600 (м2) - площадь участка.

2) Узнай длину этого участка, если его ширина 20 м; 12 м.

1) 600 : 20 = 30 (м) - длина участка, при ширине 20 метров;
2) 600 : 12 = 50 (м) - длина участка, при ширине 12 метров.

3) Какая площадь этого участка свободна, если на нем построен только дом, занимающий площадь 56 м2 ?

600 - 56 = 544(м2) - свободная площадь.

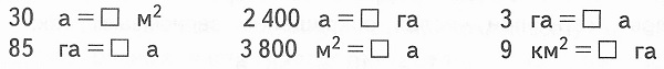
8.

номер 8 стр 106 математика 4 класс 2 часть

Ответ:

30 а = (30 • 100) м2 = 3000 м2;

85 га = (85 • 100) а = 8500 а;

2400 а = (2400 : 100) = 24 га;

3800 м2 = (3800 : 100) а = 38 а;

3 га = (3 • 100) а = 300 а;

9 км2 = (9 • 100) га = 900 га.

9. На сколько аров площадь 1 га больше площади 10 а? 45 а? Во сколько раз площадь 1 га меньше площади 1 км2 ?

1) 1 га - 10 а = (1 • 100) а - 10 а = 100 а - 10 а = на 90 (а) - площадь 1 га больше площади 10 а;

2) 1 га - 10 а = (1 • 100) а - 45 а = 100 а - 45 а = на 55 (а) - площадь 1 га больше площади 45 а;

3) 1 км2 : 1 га = 100 га : 1 га = в 100 (раз) - площадь 1 га меньше площади 1 км2

10. Для дачных участков выделили 56 га земли. Сколько получится участков, если площадь каждого будет 10 соток?

56 га : 10 соток = (56 • 100) а : 10 а = 5600 а : 10 а = 560 (участков) - получится.

11. У фермера два участка земли засеяны пшеницей. Площадь первого 18 га, а второго 30 га. С первого участка получили урожай по 32 ц пшеницы с гектара. Сколько центнеров пшеницы с каждого гектара получили на втором участке, если всего с двух участков собрали
1416 ц пшеницы?

задача 11 стр 106 математика 4 класс 2 часть

12. 1) Рассмотри план дачного участка. Определи его площадь, площадь дома, сада и огорода, если 1 см2 изображает 50 м2.
2) Запиши эти площади в порядке увеличения их значений.
номер 12 стр 106 Рассмотри план дачного участка. Определи его площадь, площадь дома, сада и огорода, если 1 см2 изображает 50 м2

Ответ:

3 • 5 = 15 (см2) - площадь участка на плане;
15 • 50 = 750 (м2) - площадь участка на местности;

15 • 10 = 150 (мм2) = 1 см2 50 мм2 - площадь дома на плане;
1 см2 50 мм2 = 50 + 25 = 75 (м 2) - площадь дома на местности;

3 • 2 = 6 (см2) - площадь сада на плане;
6 • 50 = 300 (м2) - площадь сада на местности;

3 • 1 = 3 (см2) - площадь огорода на плане;
3 • 50 = 150 (м2) - площадь огорода на местности.

Площади:

дом - 75 м2
огород - 150 м2
сад - 300 м2
участок - 750 м2

 

 

 

 

 

 

 

 

 

 

 

 

 

 

 

 
На главную Математика 1 класс Математика 2 класс Математика 3 класс Математика 4 класс