Теремок - детские игры
Мультфильмы Прикольный досуг Лопотушки Детское творчество
               
 
 
На главную
 
 
Математика 1 класс
 

 

 

Математика 2 класс

 

Математика 3 класс
   
 
Математика 4 класс
 
 
Математика 5 класс
 
Математика 2 класс тетрадь
 
Математика 3 класс тетрадь
 
Математика 4 класс тетрадь
 
Карта сайта
 
 


 

 

Математика 5 класс

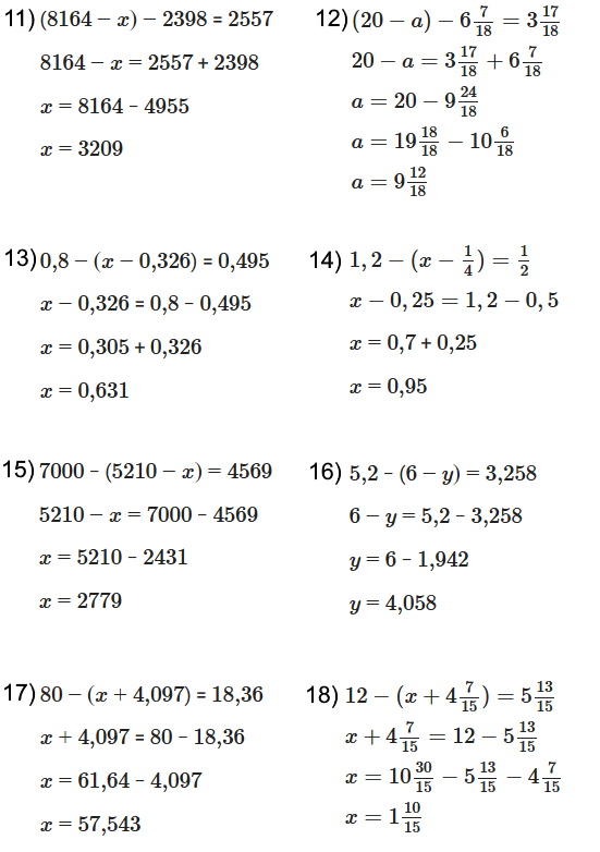
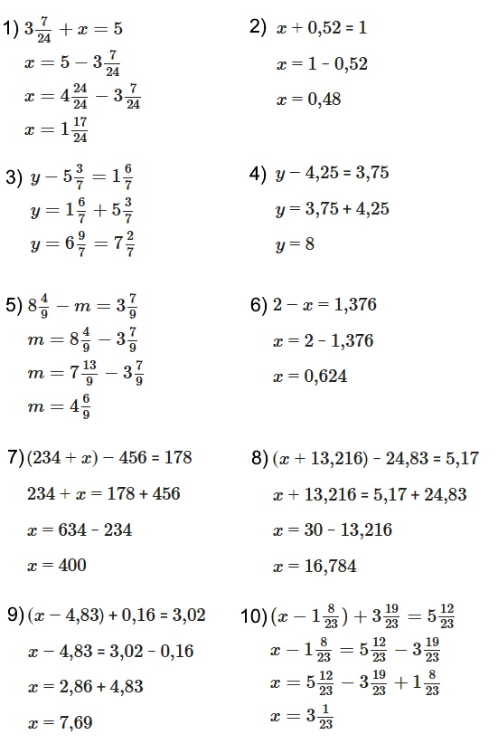
номер 1128

1128. Решите уравнение:

математика 5 класс номер 1128. Решите уравнение:

номер 1128 решить уравнения математика 5 класс

 

 

 

 

 

 

 

 

 

 

 

 

 

 

 
На главную Математика 1 класс Математика 2 класс Математика 3 класс Математика 4 класс